Download

ORIGINAL ARTICLE

Diagnosis and differential diagnosis values of indirect markers of inflammation in atopic children

Selçuk Yazıcıa*, Fatma Damla Kurta, Yağmur Güvendikb, Aslıhan İzola

aDepartment of Pediatrics, Faculty of Medicine, Balıkesir University, Balıkesir, Turkey

bDepartment of Pediatrics, Doğubeyazıt Dr. Yaşar Eryılmaz State Hospital, Ağrı, Turkey

Abstract

Atopic diseases are characterized by intense inflammation. There are increasing studies examining the relationship between atopic diseases and hematological parameters and indirect markers of inflammation, such as neutrophil-to-lymphocyte ratio (NLR), eosinophil-to-lymphocyte ratio (ELR), and platelet-to-lymphocyte ratio (PLR). The aim of this study was to investigate these parameters in patients with asthma, allergic rhinitis, and atopic dermatitis. The study was conducted retrospectively and cross-sectionally. The study group consisted of 172 patients (53 with asthma, 93 with allergic rhinitis, and 26 with atopic dermatitis) and 105 controls. There were no age or gender differences between patients and controls. When all atopic patients were compared to controls, ELR (P < 0.001), eosinophil count (P < 0.0019), and WBC (P < 0.05) were significantly higher in the patient group. When patient groups were compared independently, ELR (P < 0.001), eosinophil count (P < 0.001), and WBC (P < 0.05) were higher in asthmatic patients than in controls. In allergic rhinitis patients, ELR (P < 0.001) and eosinophil count (P < 0.001) were higher than in controls. In patients with atopic dermatitis, ELR (P < 0.001), eosinophil count (P > 0.001), WBC (P = 0.0019), and, additionally, NLR (P < 0.001) and PLR (P < 0.05) were higher than in controls. NLR and PLR were significantly higher in patients with atopic dermatitis than in controls, in patients with asthma and in patients with allergic rhinitis. Among all hemogram parameters, only ELR and eosinophil count stand out as markers that may be useful in the diagnosis of atopic diseases. NLR and PLR may be useful in the differential diagnosis of AD among atopic patients.

Key words: atopic children, indirect markers of inflammation, neutrophil-to-lymphocyte ratio, eosinophil-to lymphocyte ratio, platelet-to-lymphocyte ratio

*Corresponding author: Selçuk Yazici, Department of Pediatrics, Faculty of Medicine, Balıkesir University, Balıkesir, Turkey. Email address: [email protected]

Received 22 August 2025; Accepted 4 November 2025; Available online 1 March 2026

DOI: 10.15586/aei.v54i2.1522

Copyright: Yazıcı S, et al.
This open access article is licensed under Creative Commons Attribution 4.0 International (CC BY 4.0). http://creativecommons.org/licenses/by/4.0/

Introduction

Atopy is a genetic predisposition to develop immunoglobulin E (IgE)-mediated allergic diseases, such as atopic dermatitis (eczema) (AD), allergic rhinitis (AR), and asthma. These conditions are characterized by chronic inflammation, which is typically identified through elevated IgE levels and eosinophilia. However, these traditional markers are non-specific and may not always reflect the full scope of inflammatory process. Consequently, the importance of indirect markers of inflammation, such as neutrophil-to-lymphocyte ratio (NLR), eosinophil-to-lymphocyte ratio (ELR), mean platelet volume (MPV), and platelet-to-lymphocyte ratio (PLR), has gained attention in the diagnosis and differential diagnosis of atopic diseases in children.14

The markers help to monitor disease activity, predict exacerbations, and aid in the differential diagnosis of atopic diseases from other inflammatory or infectious conditions that may present with similar symptoms. Their easy accessibility and low cost make them valuable tools, especially in resource-limited settings.

Eosinophil-to-lymphocyte ratio, NLR, MPV, and PLR are cost-effective, readily available parameters derived from a complete blood count (CBC). They offer insights into the systemic inflammatory state by reflecting balance between pro-inflammatory and anti-inflammatory responses. Elevated NLR has been associated with the severity of atopic dermatitis, asthma, and allergic rhinitis, suggesting that it reflects the systemic inflammatory burden.2,57 Similarly, MPV, a marker of platelet activation, has been linked to the inflammatory process in atopic diseases, with some studies finding higher MPV in children with active disease.8 PLR, which combines two components of inflammatory cascade, has also shown promise as a marker for atopy, with some research indicating its utility in distinguishing atopic from non-atopic individuals.7,9,10 ELR, another indirect marker, increases in various inflammatory conditions and atopic diseases such as atopic dermatitis, and even shows changes consistent with the response to AD treatment.4,11 While these markers are not definitive diagnostic tools on their own, their value dwells in their ability to serve as supplementary indicators. They help to monitor disease activity, predict exacerbations, and aid in the differential diagnosis of atopic diseases from other inflammatory or infectious conditions that may present with similar symptoms. Their easy accessibility and low cost make them valuable tools, especially in resource-limited settings.

In this study, we aimed to investigate the usefulness of indirect parameters of inflammation, which can be obtained by routine complete blood count, for the diagnosis and differential diagnosis of atopic children aged 0–18 years.

Material and Method

The study was conducted cross-sectionally and retrospectively, based on the records of patients diagnosed with atopic allergic diseases (asthma, allergic rhinitis [AR], and atopic dermatitis [AD]) in the pediatric clinic between March 1, 2021 and March 1, 2024. Complete Blood Count (CBC) and total IgE (tIgE) measurement were performed for all patients. The following were examined as hematological parameters: hemoglobin (Hb), hematocrit (Hct), eosinophil count (Eos #), lymphocyte count (Lym #), neutrophil count (Neu #), white blood cell count (WBC), mean corpuscular volume (MCV), mean platelet volume (MPV), and platelet count (plt). NLR, PLR, and ELR were calculated by dividing the respective cell counts by lymphocyte count and expressed as percentage (%) values.

Patients with clinical findings, elevated tIgE, or positivity in a skin prick test (SPT) were considered atopic and were included in the study. Data from 105 healthy children who were admitted to the hospital for routine well-child follow-up were used as the control group. No patient or control case had physician-diagnosed comorbidities. Patients diagnosed with multiple atopic diseases were not included in the study.

All new diagnosed patients during the study period were included. Patients’ parameter values at the time of initial diagnosis served as the basic data for the study. Prior to screening for allergy, patients were tested after ensuring that they had no infectious diseases and were not taking systemic steroids or antihistamines.

The blood parameters examined during the initial diagnosis of the patients and the results of the first SPT were used as data.

The SPT was conducted on the inner surface of the forearm by a specially trained nurse using the puncture technique with a special lancet (Starallergenes, Antony, France). Antihistamines and drugs acting on leukotriene receptors were discontinued at an appropriate time prior to SPT. A standard commercial solution was used for each allergen (Starallergenes). Saline solution, 0.9%, was used for negative control, and histamine (10 mg/1 mL) for positive control. The result was checked after 15 min, and a 3-mm or larger induration was considered a positive result.

The SPT was conducted in case of each patient using two different allergen panels: (1) an aeroallergen panel or (2) a food panel. For food allergens, both ready-made commercial solutions were used, and for certain foods (egg yolk, egg white, and cow milk), a prick-to-prick skin test (PTPST) was also applied. The aeroallergen group consisted of Dermatophagoides farinae (Der f), Dermatophagoides pteronyssinus (Der p), grasses (mix), weeds (mix), Olea Europaea, Alternaria alternata, Felis domesticus, Cupressus arizonica, Blatella germanica, Aspergillus fumigatus, and Hevea brasiliensis. The food panel consisted of the following: egg yolk (PTPST), egg white (PTPST), egg yolk, egg white, and cow milk (PTPST), cow milk, peanut, tuna, wheat flour, and tomato.

Approval for the study was obtained from the local ethics committee (Decision No.: 2024/106).

Statistical analysis

A commercial package program (IBM SPSS Statistics, Ver 20, IBM Corporation, Armonk, NY, USA) was used for statistical analysis. Continuous variables were expressed as mean ± standard deviation (SD). Categorical variables were compared with χ2 and Fisher’s Exact tests. For non-parametric variables, the Mann–Whitney U test and the Kruskal–Wallis test were used. Receiver operating characteristic (ROC) curve and area under curve (AUC) were used to interpret the effect of variables examined for asthma, AR, and AD; P < 0.05 was considered statistically significant.

Results

In all, 172 patients and 105 healthy controls were included in the study. The mean age of patients was 8.84±4.65 years (range: 1–18 years), and that of controls was 9.49±4.82 years (range: 1–17 years). Among patients, 107 were males (62.2%) and 65 (37.8%) were females. The control group consisted of 56 boys (53.3%) and 49 girls (46.7%). No significant difference existed in gender or age distribution between patient and control groups.

The diagnostic distribution of patients was as follows: Asthma 53 (30.8%), AR 93 (54.1%), and AD 26 (15.1%). The most frequently detected allergens in atopic patients were Der f (n = 97) and Der p (n = 95). Sensitivity to Havea brasiliensis, tuna, wheat flour, and tomato was not detected in any patient. Negative SPT result was determined in 41.9% patients (n = 72). Sensitivity to: single allergen (monosensitized) was detected in 43 patients (25%), two allergens in 29 patients (16.9%), three allergens in 13 patients (6.4%), four allergens in 13 patients (7.6%), and to five allergens in 5 patients (2.3%). In all, 33.2% of patients (n = 57) were polysensitized. The allergens detected by skin tests according to diagnostic groups are shown in Table 1.

Table 1 Distribution of allergens detected by SPT in atopic patients and distribution of allergens detected in skin tests according to diagnostic groups.

Asthma (n = 53) AR (n = 93) AD (n = 26) Total (n = 172)
D. Farinae 32 57 8 97
D. Pteronyssinuss* 32 57 6 95
Grasses mix 16 36 3 55
Weed mix 13 19 2 34
Olea Europaea 7 22 2 31
Alternaria alternata 10 12 2 24
Felis domesticus 5 14 3 22
Cupressus arizonica 4 13 3 20
Blatella germanica 5 5 0 10
fumigatus 0 2 0 2
Egg yolk (PTPST) 1 1 7 9
Egg white (PTPST) 1 1 7 9
Egg white 0 1 4 5
Egg yolk 0 1 3 4
Cow milk (PTPST) 0 0 2 2
Cow milk 0 0 2 2
Peanut 0 0 1 1

Note: AR: allergic rhinitis; AD: atopic dermatitis (eczema); PTPST: prick-to-prick skin test.

Mean platelet volume was not different in any patient group, compared to controls or among different patient groups. tIgE was not measured in healthy control group. No significant difference was discovered when tIgE values were compared among atopic patient groups.

When patients diagnosed with asthma and AR were compared, no significant difference was determined in the parameters examined.

When patients diagnosed with asthma and AD were compared, lymphocyte count (P < 0.05), neutrophil count (P < 0.05), PLR (P < 0.001), and NLR (P = 0.001) showed significant differences. When patients diagnosed with AR and AD were compared, lymphocyte count (P < 0.001), neutrophil count (P = 0.001), PLR (P < 0.001), and NLR (P < 0.001) showed significant differences (Table 2).

Table 2 Comparison of hemogram parameters and indirect markers of inflammation among patient groups.

Lymphocyte (x1000/μL) Neutrophil (x1000/μ) NLR (%) PLR (%)
Asthma 4.38±2.37 3.21±1.2 0.95±0.8 93.44±62.61
AD 2.93±1.13 5.12±2.59 2.08±1.41 132.46±65.52
P <0.05 <0.05 0.001 <0.001
AR 4.32±2.31 2.98±0.99 0.83±0.42 88.41±43.63
AD 2.93±1.13 5.12±2.59 2.08±1.41 132.46±65.52
P <0.001 0.001 <0.001 <0.001

Notes: Only the parameters in which significant differences were detected are shown in the table. AR: allergic rhinitis; AD: atopic dermatitis (eczema); NLR: neutrophil-to-lymphocyte ratio; PLR: platelet-to-lymphocyte ratio.

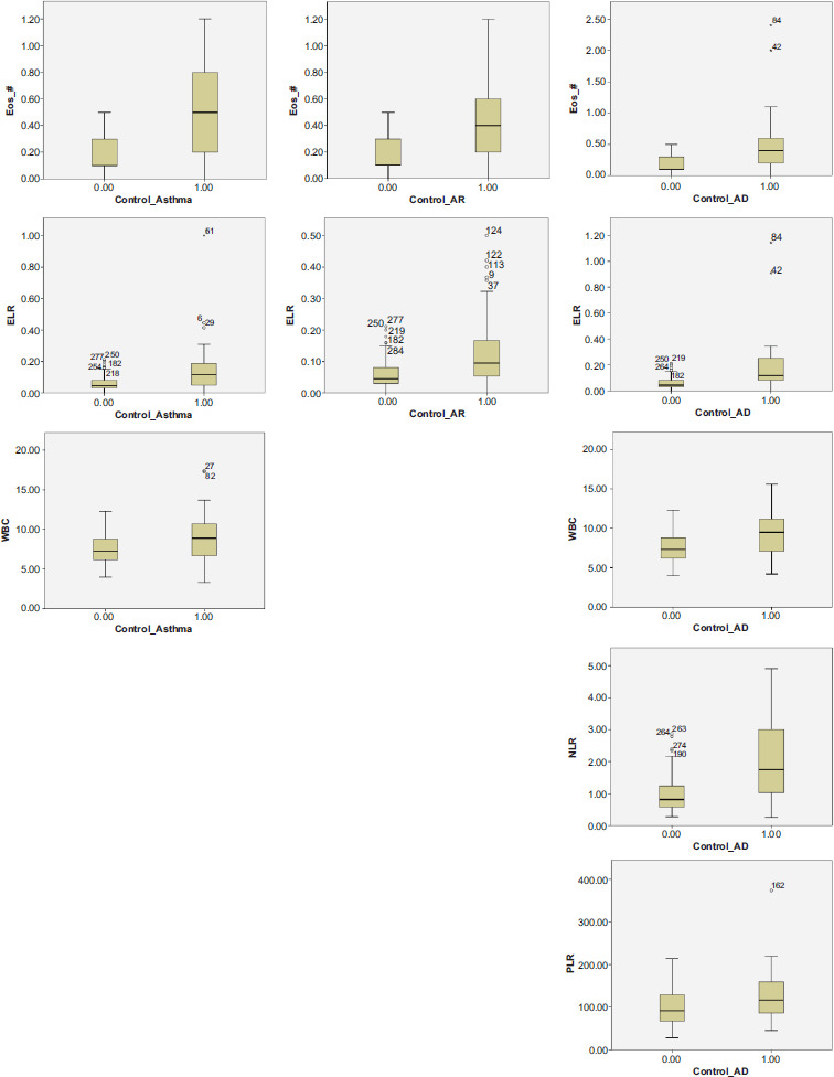
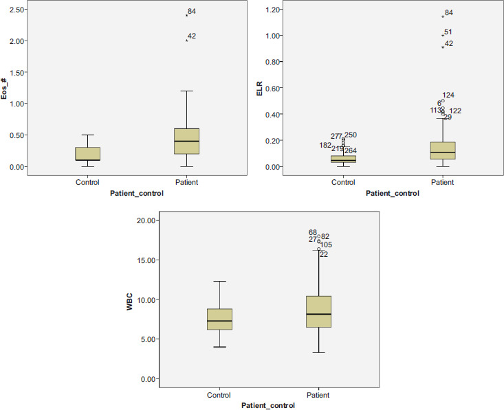
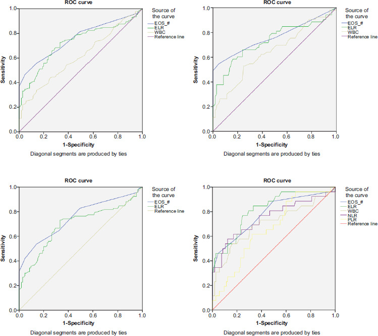
Disease subgroups and the control group were compared individually for indirect markers of inflammation. When hematological parameters were compared between all atopic patients and the control group, eosinophil count (P < 0.001), WBC count (P < 0.05), and ELR (P < 0.001) were determined to be significantly different (Table 3; Figures 1 and 2). ROC curve for eosinophil count (AUC 0.759, 95% CI: 0.704–0.814), ELR (AUC 0.724, 95% CI: 0.665–0.783), and WBC (AUC 0.612, 95% CI: 0.546–0.678) in atopic patients is presented in Figure 3.

Table 3 Comparison of hemogram parameters and indirect markers of inflammation in patients and control group.

Eos# (x1000/μL) WBC (x1000/μL) NLR (%) PLR (%) ELR (%)
All atopic patients 0.47±0.36 8.71±2.86 0.14±0.15
Control 0.19±0.052 7.52±1.84 0.06±0.04
P <0.001 P<0.05 - - P<0.001
Asthma 0.53±0.37 8.91±2.89 0.14±0.12
Control 0.33±0.3 8.11±2.49 0.10±0.15
p <0.001 p<0.05 - - P<0.001
AR 0.42±0.28 0.12±0.1
Control 0.35±0.34 0.1±0.14
p <0.001 - - - <0.001
AD 0.54±0.55 9.36±2.74 2.08±1.41 132.46±65.5 0.21±0.25
Control 0.35±0.29 8.15±2.55 0.92±0.57 95.08±48.5 0.11±0.1
p <0.001 0.001 <0.001 <0.05 <0.001

Notes: Only the parameters in which significant differences were detected are shown in the table.

AR: allergic rhinitis; AD: atopic dermatitis; ELR: eosinophil-to-lymphocyte ratio; PLR: platelet-to-lymphocyte ratio; NLR: neutrophil-to-lymphocyte ratio.

Figure 1 Box-plot graphs of parameters showing significant differences between all atopic patients and controls. Eosinophil count is shown on the left, ELR ratio is in the middle, and WBC count is shown on the right. In each graph, the values on the left represent the control group and those on the right represent the patient group.

Figure 2 Box plots of parameters showing significant differences between patients with asthma (left column), allergic rhinitis (middle column), and atopic dermatitis (right column) and controls. In each graph, the values on the left represent the control group and those on the right represent the patient group.

Figure 3 (A) ROC curve for eosinophil count (AUC 0.759, 95% CI: 0.704–0.814), ELR (AUC 0.724, 95% CI: 0.665–0.783), and WBC count (AUC 0.612, 95% CI: 0.546–0.678) in all atopic patients. (B) ROC curve for eosinophil count (AUC 0.765, 95% CI: 0.674–0.855), ELR (AUC 0.732, 95% CI: 0.641–0.823), and WBC count (AUC 0.644, 95% CI: 0.550–0.739) in patients diagnosed with asthma. (C) ROC curve for eosinophil count (AUC 0.75, 95% CI: 0.68–0.82) and ELR (AUC 0.693, 95% CI: 0.617–0.77) in patients diagnosed with AR. (D) ROC curve for eosinophil count (AUC 0.78, 95% CI: 0.67–0.891), ELR (AUC 0.817, 95% CI: 0.721–0.913), WBC count (AUC 0.702, 95% CI: 0.573–0.83), NLR (AUC 0.75, 95% CI 0.628–0.872), and PLR (AUC 0.659, 95% CI: 0.529–0.770) in patients diagnosed with AD. All ROC curves obtained were compared with controls.

Because parameters may differ between patients and controls (WBC, Eoz #, NLR, PLR, and ELR) and may also change with age, various age groups were created to obtain more homogenous groups. Three subgroups were created: preschoolers (0–5 years old), primary school students (6–11 years old), and adolescents (12–18 years old). In the 0–5-year age group, eosinophil count (P = 0.007) and ELR (P = 0.031) values were higher than in that in the control group. In the 6–11-year age group, eosinophil count (P < 0.001), ELR (P < 0.001), and WBC count (P = 0.011) were higher than in the control group. Similarly, in the 12–18-year age group, eosinophil count (P < 0.001), ELR (P < 0.001), and WBC count (P = 0.002) were higher than in the control group. NLR and PLR did not show significant differences between atopic patients and the control group within the age-divided subgroups.

Asthmatic patients were compared with controls, and the eosinophil count (P < 0.001), ELR (P < 0.001), and WBC count (P < 0.05) were significantly different from controls (Table 3, Figure 2). ROC curve for eosinophil count (AUC 0.66, 95% CI: 0.569–0.752), ELR (AUC 0.62, 95% CI: 0.532–0.707), and WBC count (AUC 0.589, 95% CI: 0.503–0.675) in patients diagnosed with asthma is presented in Figure 3.

Patients with AR were compared with the control group, and Eosinophil count (P < 0.001) and ELR (P < 0.001) showed significant differences (Table 3, Figure 2). ROC curve for eosinophil count (AUC 0.75, 95% CI: 0.68–0.82) and ELR (AUC 0.693, 95% CI: 0.617–0.77) in patients diagnosed with AR is presented in Figure 3.

Patients with AD were compared with controls, and eosinophil count (P < 0.001), WBC count (P = 0.001), PLR (P < 0.05), NLR (P < 0.001), and ELR (P < 0.001) showed significant differences (Table 3, Figure 2). ROC curve for eosinophil count (AUC 0.78, 95% CI: 0.67–0.891), ELR (AUC 0.817, 95% CI: 0.721–0.913), WBC count (AUC 0.702, 95% CI: 0.573–0.83), NLR (AUC 0.75, 95% CI: 0.628–0.872), and PLR (AUC 0.659, 95% CI: 0.529–0.770) in patients diagnosed with AD is presented in Figure 3.

Discussion

Eosinophil-to-lymphocyte ratio, eosinophil count, and WBC were higher in patients than in the control group. When atopic patients were compared with controls by disease subgroup, ELR and eosinophil count were higher in all patient groups than in the control group. NLR and PLR values were higher than in the AD group, compared to the control group. When patients and the control group were separated by age groups, ELR and eosinophil count were higher in 0–5-, 5–11-, and 12–18-year age groups than in the control group.

In our study, males were more common among atopic patients (male–female ratio 1.64:1), consistent with the majority of previous studies.1215 On the contrary, a few publications reported that atopy in children was more common in girls, and that being a girl was a risk factor for AR.16

When atopic patient groups were evaluated against each other, the tIgE values were not statistically different between the groups. This finding is consistent in many other studies examining atopic children.14 Can et al. found no difference in terms of tIgE and total eosinophil levels in children diagnosed with asthma, AR, and asthma+AR.14 Similarly, in our study also, the eosinophil count was not different between the patient groups. We did not include patients with multiple atopic diseases, such as asthma+AR, to avoid confusion between diagnosis and differential diagnosis. Similarly, Tüten Dal et al. found no difference in tIgE between the groups of their study examining children with asthma, AR, and AD.17 Furthermore, Özdoğru and Gönülal reported that there was no difference in tIgE between patients with AD and healthy controls.18 IgE levels do not remain constant and may differ for various molecular allergens within the same allergen group and may also change over time.19 In light of these findings, tIgE measurement was determined to have no differential diagnostic value in our study. Similarly, MPV values did not vary among the three atopic disease groups.

Arıkoğlu et al. reported that the percentage of eosinophils in the AR group was higher than in the asthma group in atopic children.15 However, ın our study, there was no difference in eosinophils between the two groups.

Atopic patient groups (asthma, AR, and AD) and control group

Indirect markers of inflammation, MPV, NLR, and PLR, did not differ between atopic patients and control, but eosinophil count, ELR, and WBC count showed significant differences between atopic groups and control.

Doğru and Yesiltepe Mutlu found NLR values to be higher in asthmatics than in controls.6 Cheng and Zhang also found a nonlinear increase in NLR values in asthmatics.1 Giray and Ozdemır stated that MPV values were significantly lower in asthmatics.20 Esmaeilzadeh et al. did not examine their diagnostic value but showed that higher eosinophil counts and NLR values were associated with longer hospitalizations for asthma.21 In our study, although eosinophil counts were higher in asthmatics, both MPV and NLR were not different in asthmatics from the control group.

Similar to the results of our AR group, Çiçek et al. found that the eosinophil count in patients with allergic conjunctivitis was significantly higher than in controls, and the NLR and PLR values were not different.22 Conversely, Cansever found NLR and PLR values to be significantly higher in AR patients than in control patients.23 Khanzadeh et al. also found the NLR value to be higher in AR patients than in control patients.2

Akçal and Taskırdı reported that platelet count, PNR, and absolute lymphocyte counts increased, absolute neutrophil values decreased, and MPV value was not different in children with AD, compared to the control group.24 Our results were incompatible with this study. Jiang and Ma, similar to our findings, demonstrated higher NLR, PLR, and eosinophil counts in AD patients than in control patients;10 however, the authors did not examine ELR values. Batmaz stated that NLR and PLR values were higher in AD patients than in control patients.7 Chen et al. also reported that increased NLR and PLR values were associated with a higher prevalence of AD.25 Özdoğru and Gönülal discovered higher eosinophil count and eosinophil percentage in patients with AD than in control patients and reported that these two values were more valuable than tIgE in the follow-up of AD.18 Our study also showed similar results. Zhang et al.3 and Hagino et al.4 reported that the ELR value was related with AD severity and was useful in monitoring effectiveness of treatment in AD patients. Similarly, our study showed that the ELR value was significantly higher in atopic patients, especially those with AD, compared to control patients. Although AUC was also high in asthmatics and AR patients, the ELR showed the highest AUC value (AUC 0.817, 95% CI: 0.721–0.913) in patients with AD.

Different study methodologies, regions, communities, and differences in the content of allergen panels make it difficult to compare results. However, the results of our study were consistent with many of the cited studies.

Limitations

Our study had several limitations. First, owing to its retrospective characteristic, the dataset was not as comprehensive as prospective studies. Second, the number of cases was low, especially in the AD patient group. Finaly, because the disease severity scores were not recorded in all atopic patients, the relationship between disease severity and indirect markers could not be examined. The fact that the patients were from a single center and that there were no tIgE values in healthy control patients were also its shortcomings.

Conclusion

In atopic patients, ELR, eosinophil count, and WBC count were higher than in control patients. When atopic patient groups were compared with controls individually, ELR and eosinophil count were also determined as higher than in control patients. Among all hemogram parameters, only ELR and eosinophil count appeared as indirect inflammation markers that could be useful in the diagnosis of atopic diseases. MPV, NLR, and PLR values were not useful in the diagnosis of atopy in general, but NLR and PLR could be useful in the differential diagnosis of AD among atopic patients.

Mandatory Disclosure on Use of Artificial Intelligence

The authors declare that no AI-assisted tools were used in the preparation of this manuscript. All references have been manually verified for accuracy and relevance.

Competing Interests

The authors had no relevant financial interests to disclose.

Authors Contribution

All authors contributed equally to this article.

Conflicts of Interest

None.

Funding

None.

REFERENCES

1 Cheng C, Zhang L. Nonlinear association between neutrophil-to-lymphocyte ratio and asthma in children and adolescents in the United States: A cross-sectional study. Clin Exp Pediatr. Jul. 2025;68(7):489–46. 10.3345/cep.2024.01844

2 Khanzadeh M, et al. Prognostic role of neutrophil to lymphocyte ratio in allergic rhinitis: A systematic review and meta-analysis, Indian J Otolaryngol Head Neck Surg. 2024;76(1):1389–97. 10.1007/s12070-023-04148-8

3 Zhang L, et al. The association of ınflammatory ındexes derived from peripheral blood cell count and clinical signs with response to treatment with dupilumab in pediatric patients with moderate-to-severe atopic dermatitis. J Inflamm. Res. 2025:18:271–282. 10.2147/JIR.S501883

4 Hagino T, Saeki H, Fujimoto E, Kanda N. The eosinophil-to-lymphocyte ratio acts as an ındicator for ımprovement of clinical signs and ıtch by upadacitinib treatment in atopic dermatitis. J Clin Med. 2023;12(6):2201. 10.3390/jcm12062201

5 Cansever M. The association of allergic rhinitis severity with neutrophil–lymphocyte and platelet–lymphocyte ratio in children. North Clin Istanb. 2022;9(6):602–609. 10.14744/nci.2022.96236

6 Doğru M, Yesiltepe Mutlu R.G. The evaluation of neutrophil–lymphocyte ratio in children with asthma. Allergol Immunopathol (Madr). 2016;44(4):292–6. 10.1016/j.aller.2015.09.005

7 Batmaz S. Simple markers for systemic inflammation in pediatric atopic dermatitis patients. Indian J Dermatol. Jul. 2018;63(4):305. 10.4103/ijd.IJD_427_17

8 Duman Şenol H, Özdoğru EE, Sancaklı Ö, Doğru M, Tuncel T. Which has an ınfluence on mean platelet volume: Allergic rhinitis or asthma? J Pediatr Res. Sep. 2022;9(3):223–7. 10.4274/jpr.galenos.2022.93899

9 Sekar M, Inamadar A, Janagond A. Hematological parameters in pediatric atopic dermatitis: Correlation with disease severity and duration. Iran J Dermatol. Mar. 2024;27(1):28–34. 10.22034/ijd.2023.379696.1647

10 Jiang Y, Ma W. Assessment of neutrophil-to-lymphocyte ratio and platelet-to-lymphocyte ratio in atopic dermatitis patients. Med Sci Monit. 2017;23:1340–6. 10.12659/MSM.900212

11 Di J, et al. Eosinophil-to-lymphocyte ratio and eosinophil count as new predictive markers for osteoarthritis. J Pain Res. 2024;17:3803–15. 10.2147/JPR.S480925

12 Başaran AE, Karataş Torun N, Kocacık Uygun DF, Bingöl A. Distribution of aeroallergens on skin prick tests of atopic children living in the Akdeniz region, Turkey. Asthma Allergy Immunol. Mar 2018; 10.21911/aai.280

13 Ciğerci Günaydın N, et al. Evaluation of allergen sensitization in patients with allergic rhinitis and/or asthma in Tekirdağ. J Pediatr Res. 2022;9(3):259–66. 10.4274/jpr.galenos.2022.87094

14 Can C, Altınel N, Hatipoglu S. Aeroallergen sensitisation patterns of children aged 5 years and younger with asthma and/or allergic rhinitis in Istanbul. Arch Pédiatrie. Jan. 2021;28(1):7–11. 10.1016/J.ARCPED.2020.10.014

15 Arıkoğlu T, Batmaz SB, Kuyucu S. Allergen sensitization patterns in atopic children in Mersin Province of Turkey. Asthma Allergy Immunol. Dec. 2017; 10.21911/aai.398

16 Cobanoglu HB, Isik AU, Topbas M, Ural A. Prevalence of allergic rhinitis in children in the Trabzon Province of the Black Sea region of Turkey. Turk Otolarengol Arsivi (Turkish Arch Otolaryngol). 2016;54(1):21–28. 10.5152/tao.2016.1089

17 Tüten Dal S, Sahiner UM, Soyer O, Sekerel BE. Mite allergen sensitization patterns in Turkish children: Age-related changes and molecular correlations. Pediatr Allergy Immunol. 2024;35(2):1–10. 10.1111/pai.14093

18 Özdoğru EE, Gönülal M. Atopic dermatitis, inhalant allergy and food allergy: A paediatric approach. Dermatol Ther. 2021;34(1):1–5. 10.1111/dth.14542

19 Posa D et al. Evolution and predictive value of IgE responses toward a comprehensive panel of house dust mite allergens during the first 2 decades of life. J Allergy Clin Immunol. 2017;139(2):541–9.e8. 10.1016/j.jaci.2016.08.014

20 Gıray D, Ozdemır M. Evaluation of mean platelet volume and other complete blood count parameters in children with atopic asthma. Bezmialem Sci. 2018;6(3):181–5. 10.14235/bs.2018.1759

21 Esmaeilzadeh H, Nouri F, Nabavizadeh SH, Alyasin S, Mortazavi N. Can eosinophilia and neutrophil–lymphocyte ratio predict hospitalization in asthma exacerbation? Allergy Asthma Clin Immunol. 2021;17(1):1–8. 10.1186/s13223-021-00512-x

22 Çiçek F, Köle MT, Kandemir İ. The role of hematological parameters in the diagnosis of childhood allergic conjunctivitis. Bagcilar Med Bull. 2023;8(3):236–40. 10.4274/BMB.galenos.2023.2023-07-066

23 Cansever M. The association of allergic rhinitis severity with neutrophil–lymphocyte and platelet–lymphocyte ratio in children. North Clin Istanbul. 2022;9(6):602–9. 10.14744/nci.2022.96236

24 Akçal O, Taskırdı İ. Do platelet count and mean platelet volume have a predictive role as a marker in children with atopic dermatitis? Indian J Dermatol. 2022;67(6):688–92. 10.4103/ijd.ijd_689_22

25 Chen X, Yang X, Zhang M, Zhao Y, Guo S. Neutrophil-lymphocyte and platelet-lymphocyte ratios as systemic inflammatory biomarkers for atopic dermatitis in US adults: A cross-sectional NHANES study revealing subgroup heterogeneity. Front Immunol. 2025;160; 1-09. 10.3389/fimmu.2025.1585451