aDepartment of Biotechnology, Faculty of Science and Technology, University of Central Punjab, Lahore, Punjab, Pakistan
bLaboratory of Animal Health, Hygiene and Food Quality, University of Ioannina Arta Greece
cDepartment of Pharmacy Practice, College of Pharmacy, Princess Nourah bint Abdulrahman University, P.O. Box 84428, Riyadh 11671, Saudi Arabia
dDepartment of Biology, College of Science, Princess Nourah bint Abdulrahman University, P.O. Box 84428, Riyadh 11671, Saudi Arabia
eDepartment of Clinical Laboratory Sciences, College of Applied Medical Sciences, Shaqra University, Alquwayiyah, Riyadh, Saudi Arabia
fClinical Laboratory Sciences Department, Applied Medical Sciences, Taibah University, Medina, Saudi Arabia
gDepartment of Biological Sciences, Collage of Science, University of Jeddah, 21493, Jeddah, Saudi Arabia
Alzheimer’s disease (AD) and nonalcoholic fatty liver disease (NAFLD) are both prominent public health concerns owing to their increasing prevalence and burden on healthcare systems. The interconnected genetic and immunological mechanisms that may cause both of these diseases are poorly understood. This study used broad gene expression datasets to identify similar molecular markers and immunological profiles in AD and NAFLD and evaluate their potential. Using the Gene Expression Omnibus (GEO) database, mRNA expression profiles from patients with AD and NAFLD were analyzed alongside control samples to identify differentially expressed genes (DEGs). Systems biology approaches, including LASSO regression and multivariate logistic regression models, were used to further refine the significance of DEGs. The diagnostic potential of the key genes was evaluated using receiver operating characteristic (ROC) curves, and the immune cell environment was quantified using the Immune Cell Abundance Identifier (ImmuCellAI). We identified 11,278 DEGs, with 3551 upregulated and 7857 downregulated genes. S100A8, CXCL9, and ST8SIA3 have emerged as significant biomarkers of both AD and NAFLD. ROC analysis substantiated the diagnostic value of these markers. Additionally, distinct patterns of immune cell populations have been observed in AD and NAFLD, highlighting potential targets for immunomodulatory therapy. This study elucidates shared molecular and immune mechanisms in AD and NAFLD, offering insights into the pathophysiological underpinnings that could inform the development of novel diagnostic and therapeutic strategies. S100A8, CXCL9, and ST8SIA3 are potential candidates for future clinical application. Further investigation into these genetic discoveries and their immune system effects may lead to a unified strategy for treating these complicated disorders.
Key words: Alzheimer’s Disease, NAFLD, immune Cells, bioinformatics analysis, potential biomarkers
*Corresponding authors: Muhammad Naveed, Department of Biotechnology, Faculty of Science and Technology, University of Central Punjab, Lahore, Punjab, Pakistan. Email address: [email protected]; Tariq Aziz: Laboratory of Animal Health, Hygiene and Food Quality, University of Ioannina Arta Greece. Email address: [email protected]
Received 14 June 2025; Accepted 20 August 2025; Available online 1 November 2025
Copyright: Jabeen K, et al.
This open access article is licensed under Creative Commons Attribution 4.0 International (CC BY 4.0). http://creativecommons.org/licenses/by/4.0/
Alzheimer’s disease (AD) is a gradually progressing neurological disorder that causes degeneration of brain cells. It is a pressing public health issue owing to its increasing prevalence and demands urgent attention. AD, the predominant form of dementia, affects approximately 24 million people worldwide.1,2 Coexistence with other illnesses, such as epileptic seizures, exacerbates the progression of the disease and amplifies the cognitive repercussions it imposes on individuals.3,4 Owing to the rising average age of the global population, AD is not only a healthcare issue but also a primary subject of scientific investigation focused on comprehending the complex mechanisms underlying its pathology. Approximately 25–30% of the adult population worldwide suffers from nonalcoholic fatty liver disease (NAFLD), a common metabolic disease that occurs concurrently with AD. NAFLD, which refers to the accumulation of fat in liver cells without excessive alcohol use, is strongly linked to metabolic abnormalities, such as insulin resistance, type 2 diabetes (T2D), and obesity. This association also extends to children, with a prevalence rate of approximately 7.4%, suggesting that it affects many generations.5,6 As our understanding of NAFLD increases, it becomes evident that the illness may hasten neurodegeneration by inducing elevated levels of insulin resistance, systemic inflammation, and liver failure. This undermines the prevailing belief that neurodegenerative and metabolic disorders are inherently different and independent of one another.7
Recent research suggests that NAFLD affects neural systems, which can result in reduced brain connections, emotional reactions, and visual information processing. The implications of these findings are significant for the diagnosis and treatment of brain disorders resulting from NAFLD. Additionally, they enhance our understanding of the mental dimensions of the condition, as they are linked to schizophrenia, bipolar disorder, and depression. Interrelationships are affected by several genetic, metabolic, inflammatory, and environmental factors, including smoking and psychiatric medications.8,9 Moreover, recent progress in manipulating ceramide metabolism for the management of NAFLD underscores the possibility of utilizing pharmaceuticals to interfere with metabolic pathways linked to the disease.8 Insulin resistance, genetic predisposition, epigenetic changes, malfunctioning mitochondria, adipokines, the connection between the gut and liver, and the effect of nutrition are all crucial factors that contribute to the development and progression of NAFLD. The presence of these traits in individuals with T2D suggests a higher probability of accelerated disease progression. The prevalence and severity of NAFLD in children, particularly those with mental health disorders receiving psychiatric medication, underscores the significant correlation between metabolic and mental well-being.9
NAFLD, a syndrome characterized by metabolic and neurological issues, is increasingly being recognized as a contributing factor in the onset of AD. The presence of shared genetic and pathophysiological mechanisms indicates a common origin for the disease between the two disorders.10 The intricate relationship between the pathophysiology of AD, disrupted cholesterol metabolism, and signaling pathways involving oxysterols may be linked to changes in blood vessels, disturbances in cerebral blood flow, and impaired waste removal.11 The impact of the microbiome on the development of AD is growing, offering fresh prospects for understanding the diseases that have traditionally been examined from a limited perspective.12,13 This study sought to improve our understanding by comprehensively examining gene expression patterns to elucidate the complex molecular relationships between AD and NAFLD. By leveraging the vast repository of expression data in the GEO database, we identified pivotal genes that exhibited differential expression between individuals afflicted with diseases and those in good health. This enabled us to understand the shared biological pathways responsible for various illnesses. We employed systems biology methodologies, including LASSO regression and multivariate logistic regression models, to ascertain genes of utmost significance. We assessed the diagnostic potential of these genes using receiver operating characteristic (ROC) curves. Our research also explored the immunological milieu by examining the correlation between shared genes implicated in AD and NAFLD, along with the attributes of immune cells. This approach not only offers an understanding of the potential shared genetic framework but also proposes immune-modulating strategies that could serve as novel therapeutic alternatives for controlling AD. The results of this study have the capacity to improve the understanding of AD and NAFLD and encourage a multidisciplinary approach that could revolutionize treatment strategies for both prevalent diseases.
From the Gene Expression Omnibus (GEO) database (https://www.ncbi.nlm.nih.gov/geo) on September 6, 2023, we retrieved transcriptome profiles, including clinical information and messenger RNA (mRNA) expression profiles of patients with AD and NAFLD.14 This study incorporated the gene expression patterns obtained from the entire blood or peripheral blood of patients with AD and control samples. In this study, we utilized the R programming language to download AD-related mRNA expression profile data and clinical data from the GEO database.
The GSE84422 dataset (GPL96, Affymetrix Human Genome U133A Array, Homo sapiens) comprises data from 217 healthy individuals and 734 individuals diagnosed with AD, who served as the training set. The GSE48350 dataset comprises 173 control samples and 80 samples from individuals with AD. These samples were collected from blood samples at various periods throughout disease progression. The dataset was generated using the GPL570 platform, specifically the Affymetrix Human Genome U133 Plus 2.0, and focused on Homo sapiens. The GSE193066 dataset (GPL18573, Illumina NovaSeq 500, Homo sapiens) comprised 58 control samples and 106 NAFLD samples, offering additional knowledge on AD. More details regarding the three datasets are presented in Table 1.
Table 1 Detailed information on the studied gene expression profiles.
| ID | Disease name | Platform | Control | Disease |
|---|---|---|---|---|
| GSE84422 | Alzheimer’s disease | GPL96, Affymetrix Human Genome U133A Array, Homo sapiens | 217 | 734 |
| GSE48350 | Alzheimer’s disease | GPL570, Affymetrix Human Genome U133 Plus 2.0 Array, Homo sapiens | 173 | 80 |
| GSE193066 | Nonalcoholic fatty liver disease | GPL18573, Illumina NovaSeq 500, Homo sapiens | 58 | 106 |
The Limma tool in the R language was used to identify differentially expressed genes (DEGs) in AD and NAFLD patients and control samples in all three datasets. DEGs were determined based on adjusted P-values less than 0.05 and an absolute log2 fold change greater than or equal to 0.5. The volcanic map was visualized using the R packages “ggplot2 (v3.3.6)” to depict variations.15
The selected genes were subjected to in-depth analysis of their related biological functions using clusterProfiler (v4.4.4) R program. This investigation encompassed the examination of molecular function (MF), biological process (BP), cellular component (CC), and Kyoto Encyclopedia of Genes and Genomics (KEGG) pathways (v97.0).16 To identify statistically significant outcomes, we employed the False Discovery Rate (FDR) correction, using a significance threshold of P < 0.05 for screening.
We utilized the STRING database (v11.5) (https://string-db.org/) as a valuable resource for identifying interacting genes and visualizing protein networks. We employed this resource to perform protein–protein interaction (PPI) studies. To improve our understanding of these networks, we utilized the Cytoscape plugin called “Cytohubba” to visually represent the nodes in network.17 This was achieved by assigning distinct colors to the nodes based on their degrees.
The Immune Cell Abundance Identifier (ImmuCellAI) is a well-established database commonly used to assess the presence of immune cells in the microenvironment.18 ImmuCellAI can predict the quantity of 24 distinct immune cell types in samples. The immune cell infiltration in various groups will be assessed using ImmuCellAI in the group under examination. This study employed the ImmuCellA algorithm to examine patients with AD or NAFLD, and precisely measured the relative abundance of 24 infiltrating immune cells.
The “gstatsplot (v0.9.3)” package in R was used to perform Spearman correlation analysis between key diagnostic biomarkers and immune cell subsets in AD and NAFLD, to assess their relationship.19 The findings of the correlational study were shown using the “tidyverse (v1.3.2),” “ggsci (v2.9),” and “ggplot2 (v3.3.6)” packages in R.
Statistical analysis and data visualization were performed using R software (version 4.2.0). Receiver operating characteristic (ROC) analysis was performed using the “Proc” package (v1.18.0) in R. The mean ± SD was used to represent continuous variables. Student’s t-test and the Mann–Whitney U test were used for variables with normal and abnormal distribution, respectively.20 The cutoff criteria for the differential expression analysis were set at an adjusted P < 0.05, and |log2FC|≥ 0.5. Among all studies, we considered a significance level of P < 0.05, which indicated a substantial difference.
An outline of this investigation is provided. Figure 1 provides an outline of the investigation. Three GEO datasets were evaluated to identify possible genes associated with AD and NAFLD. A total of 11,278 DEGs were identified, of which 3551 were upregulated and the remaining 7857 were downregulated. 55 strong DEGs were identified using RRA analysis. The volcano plot of the DEGs is depicted in Figure 2.
Figure 1 Framework of the research work.
Figure 2 Volcano plot of the DEGs.
Gene ontology (GO) and KEGG pathways were included in the functional enrichment analysis. Figures 3A and 3B display GO enrichment analysis and KEGG pathways of the DEGs. DEGs were mainly linked to the following processes: cell–cell signaling, multicellular organismal signaling, antimicrobial humoral response, and positive regulation (Pos. reg). of ion transmembrane transport, glutamatergic synapses, A-type (transient outward) potassium channel activity, and binding of toll-like receptors. The most intricately linked pathways, on the other hand, were those related to the cell cycle, oocyte meiosis, ubiquitin-mediated proteolysis, oxidative phosphorylation, metabolic pathways, AD, NAFLD, thermogenesis, and small cell lung cancer (Figures 3C–3F).
Figure 3 Functional enrichment for DEGs. (A) KEGG analysis of DEGs. (B) GO analysis of DEGs; (C–F) The enriched items in GO and KEGG analysis. BP: Biological process; CC: Cellular component; MF: Molecular function; KEGG: Kyoto Encyclopedia of Genes and Genomes.
The PPI network was constructed from 40 robust DEGs using STRING software. The network contained 55 nodes and 69 edges (Figure 4A) and was visualized using Cytoscape software (Figure 4B). The proteins that played key roles in AD and NAFLD were S100A8, SCN2A, CXCL9, PTX2, KCNIP2, RPH3A, and ST8SIA3. S100A8, CXCL9, and ST8SIA3 were selected for further analysis, as shown in Table 2.
Figure 4 FPPI network. (A) String network; (B) Linkage of 7 genes with other genes.
Table 2 Information on the 7 differentially expressed genes.
| Gene | Full name | Role in AD | Role in NAFLD | logFC (Combined) |
|---|---|---|---|---|
| S100A8 | S100 calcium-binding protein A8 | Yes | No | 0.483 |
| SCN2A | sodium voltage-gated channel alpha subunit 2 | Yes | No | 0.72695 |
| CXCL9 | C-X-C motif chemokine ligand 9 | Yes | Yes | 0.14499319 |
| NPTX2 | neuronal pentraxin 2 | Yes | Yes | 0.15024672 |
| KCNIP2 | Potassium voltage-gated channel-interacting protein 2 | Yes | Yes | -0.760886 |
| RPH3A | Rabphilin 3A | Yes | Yes | -0.1686421 |
| ST8SIA3 | ST8 alpha-N-acetyl-neuraminide alpha-2,8-sialyltransferase 3 | Yes | Yes | 0.552496 |
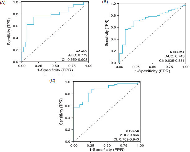
To evaluate the practical advantage of the three genes, we employed ROC curves to illustrate their effectiveness in distinguishing between AD and NAFLD. The diagnostic accuracies of S100A8, CXCL9, and ST8SIA3 were excellent, as evidenced by the values of 0.866 (95% CI = 0.789, 0.943), 0.779 (95% CI = 0.650, 0.908), and 0.743 (95% CI = 0.635, 0.851), respectively as display in Figure 5.
Figure 5 ROC analysis revealed the diagnostic value of hypoxia-related genes in AD and NAFLD data. (A) ROC analysis of CXCL9; (B) ROC analysis of ST8SIA3; (C) ROC analysis of S100A8.
As shown in Figure 5, S100A8 exhibited superior performance compared with the other three hypoxia genes in differentiating between patients with AD and NAFLD and control samples. To evaluate the expression of S100A8 in AD and NAFLD, GSE84422 and GSE48350 datasets were examined. S100A8 levels in individuals with AD and NAFLD were significantly higher than those in the control samples (Figures 6A and 6B), and Metascape was used for functional enrichment analysis. The chart clearly demonstrates that these genes were significantly enriched in the neutrophil aggregation and signaling pathways, as shown in Figure 6C.
Figure 6 S100A8 may represent a new candidate gene in AD and NAFLD. (A) S100A8 mRNA levels are upregulated in AD; (B) S100A8 mRNA levels are upregulated in NAFLD (C); Enrichment analyses based on KEGG pathways to predict the potential function of S100A8.
Following an analysis of the correlation between immune infiltration and the gene matrix, we conducted additional investigations into the underlying molecular mechanisms by which genes influence the progression of both diseases, as shown in Figure 6. The results demonstrated a significant increase in the fractions of monocytes, NKT cells, Tr1 cells, iTreg cells, Tcm cells, and Tem cells in the AD group compared to those in the control group.
In comparison, the number of particles of several cells, including DC, neutrophils, nTregs, and CD8_navie, was lower in individuals with typical health conditions (Figure 7A). However, immune infiltration exhibited a distinct behavior in the NAFLD group. Compared to typical patients, the NALFD group exhibited a large increase in neutrophil levels, while there were significant decreases in monocyte, iTreg, and iTreg levels. Additionally, there were significant decreases in NK, CD4_T, CD8_T, Tgd, CD4_navie, nTreg, Tfh, and CD8_naive cell levels (Figure 7B). These findings illustrate the distinct cellular immunological microenvironment observed in different diseases.
Figure 7 Immune infiltration analysis. (A) Analysis of immune infiltration in an AD group (blue) and blank group (red); (B) Analysis of immune infiltration in NAFLD group (red) and blank group (blue).
S100A8 exhibited a significant positive association with neutrophils (r = 0.635, P < 0.001) and Macrophages M0 (r = 0.395, P = 0.012) (Figure 8A). Additionally, CXCL9 expression was strongly correlated with dendritic cell activation (r = 0.449, P = 0.004) (Figure 8B). The presence of gamma delta T cells was positively correlated with ST8SIA3 expression (r = 0.350, P = 0.029) (Figure 8C). These findings indicate that the brain microenvironment in Alzheimer’s disease may be partially affected by the presence of S100A8, CXCL9, and ST8SIA3.
Figure 8 Correlation between S100A8, CXCL9, and ST8SIA3 and immune cells. (A) Correlation between S100A8 and infiltrating immune cells; (B) Correlation between CXCL9 and infiltrating immune cells; (C) Correlation between ST8SIA3 and infiltrating immune cells.
An emerging area of precision medicine is the study of immunological links and shared genetic bases between AD and NAFLD. The primary goal of this study was to identify the shared molecular features of these two seemingly distinct diseases. Several datasets will be integrated, and comprehensive bioinformatics investigations will be conducted to accomplish this. S100A8, CXCL9, and ST8SIA3 are three genes that stand out in the Gene Expression Omnibus (GEO) database as biomarkers for AD and NAFLD because of their important roles in both diseases. The elevated expression levels of these three biomarkers in patients with AD and NAFLD compared to control groups suggest their function in the pathophysiology of these diseases.21 Both diseases share the hallmarks of chronic inflammation and immunological dysregulation, and the identification of these genes represents a huge step forward in understanding the molecular mechanisms that cause these symptoms, which have far-reaching consequences for public health.22
Genetic parallels between metabolic disorders, immune-mediated diseases, and AD have been highlighted in previous studies.23–25 These results indicate a complicated web of interconnected pathways, particularly those linked to inflammation. Importantly, our results add to what is already known about these hereditary relationships by suggesting that the genes we have highlighted have functional roles in these prevalent inflammatory pathways.26–28 The findings of Karbalaei et al.29 and Herman et al.30 add to the growing body of evidence suggesting that similar immune-related mechanisms underlie the observed differences in the phenotypes of NAFLD and AD. Our differential expression study confirmed these previous findings, expanding our knowledge of how inflammation affects gene expression and, ultimately, disease.28 Investigating KEGG pathways and GO keywords as part of functional enrichment analysis sheds light on the potential critical biological processes and activities involved in the onset of both diseases.29 Among these activities and procedures are cell–cell signaling, antimicrobial humoral response, and neutrophil chemotaxis.30
The development of PPI (protein–protein interaction) networks is a key component of our research. These networks provide a framework for understanding the complex biological interconnections at play and allow us to understand the significance of the connections among the discovered DEGs.31 By visualizing these networks with tools such as STRING and Cytoscape, we can determine the importance of the contribution of biomarker genes to the development and progression of diseases.32–34 Differences in immune cell populations between patients with AD and NAFLD were shown by the results of the immune infiltration analysis conducted in this study.33,34 The role of the immune system in the onset and progression of many diseases and the potential for immunomodulatory treatments to be tailored to individual patient needs have been highlighted.35–37
Furthermore, Spearman’s correlation analysis38 has shown associations between specific immune cell types and essential biomarkers that have been identified, leading to a better understanding of immune response alterations in disease conditions.39,40 Curiously, these connections provide promising avenues for targeted immunotherapies with the potential to halt or even reverse disease progression.40,42 This study has certain limitations. First, it relies on transcriptome data, which may not capture post-transcriptional changes, genetic variants, or epigenetic factors that affect gene function. Moreover, although GEO provides a complete dataset, the results may not be as accurate when databases are analyzed retrospectively, owing to biases in sample collection, handling, and processing.43 Future studies could benefit from examining the immune cell environment and its relationship to gene expression in AD and NAFLD. Additional research is necessary to validate these results and understand their therapeutic significance, despite this study being one of the pioneering efforts to integrate transcriptome profiling with immune cell analysis under these conditions. Confirmation of these findings requires future prospective research with larger and more diverse patient populations, as well as functional and mechanistic validation in model systems.
In conclusion, this study focuses on understanding the common molecular processes between AD and NAFLD and illuminates possible targets within the immune system for innovative therapeutic approaches. This supports the idea of using a unified strategy to address these diseases, emphasizing that human diseases are complex and interconnected, rather than separate and different. Only by conducting comprehensive investigations across multiple dimensions can we completely comprehend the intricate nature of these diseases and ideally devise more efficient and tailored treatment protocols. Experimental validation in patient samples and mechanistic studies is needed to confirm these bioinformatic findings. Moreover, longitudinal clinical research could clarify the causal relationships between NAFLD and cognitive decline. Clinicians should be aware of the metabolic-brain health link; screening for cognitive impairment in NAFLD patients (and vice versa) may be beneficial. This study is based on retrospective transcriptomic data and computational analysis; thus, confounding factors and the observational nature limit causal inference.
The authors extend their gratitude to Princess Nourah bint Abdulrahman University Researchers Supporting Project number (PNURSP2025R419), Riyadh, Saudi Arabia.
Ethical approval or Clinical Trial number does not apply to this study as it does not include the participation of humans or animals.
All the data generated in this research work has been included in this manuscript. The data supporting this publication are available from the online repository names of the repository/repositories and accession number(s) can be found in the Gene Expression Omnibus (GEO) database (https://www.ncbi.nlm.nih.gov/geo).
Conceptualization: Muhammad Naveed; Methodology: Khizra Jabeen; Software: Muhammad Saad; Validation: Ammena Y. Binsaleh and Nawal Al-Hoshani; Formal analysis: Khizra Jabeen; Investigation: Nawal Al-Hoshani; Resources: Tariq Aziz; Data curation: Maher S. Alwethaynani; Writing – original draft preparation: Khizra Jabeen; Writing – review and editing: Areej A Alhhazmi and Mariam Abdulaziz Alkhateeb; Visualization: Omniah A. Mansouri; Supervision: Muhammad Naveed and Tariq Aziz; Project administration: Tariq Aziz.
All listed authors declare that they have no financial or other competing interests concerning the work presented here. No financial or personal ties between the authors and outside parties would cause them to act or report on this study.
1 World Health Organization. Dementia. World Health Organization. [cited 2025 Mar 31]. Available from: https://www.who.int/news-room/fact-sheets/detail/dementia
2 Younossi ZM, Golabi P, Paik JM, Henry A, Van Dongen C, Henry L. The global epidemiology of nonalcoholic fatty liver disease (NAFLD) and nonalcoholic steatohepatitis (NASH): A systematic review. Hepatology. 2023;77(4):1335–47. 10.1097/hep.0000000000000004
3 Csernus EA, Werber T, Kamondi A, Horváth A. The significance of subclinical epileptiform activity in Alzheimer’s Disease: A review. Front Neurol. 2022; 13:856500. 10.3389/fneur.2022.856500
4 Yeh T, Kuo C, Chou Y. Retinal microvascular changes in mild cognitive impairment and Alzheimer’s disease: A systematic review, meta-analysis, and meta-regression. Front Aging Neurosci. 2022; 14:860759. 10.3389/fnagi.2022.860759
5 Alkhouri N, Almomani A, Le P. The prevalence of alcoholic and nonalcoholic fatty liver disease in adolescents and young adults in the United States: Analysis of the NHANES database. BMC Gastroenterol. 2022;22(1):366. 10.1186/s12876-022-02430-7
6 Le MH, Yeo YH, Zou B, Barnet S, Henry L, Cheung R, et al. Forecasted 2040 global prevalence of nonalcoholic fatty liver disease using hierarchical bayesian approach. Clin Mol Hepatol. 2022;28(4):841–50. 10.3350/cmh.2022.0239
7 Kelty T, Dashek R, Arnold W, Rector R. Emerging links between nonalcoholic fatty liver disease and neurodegeneration. Semin Liver Dis. 2023;43(1);77–88. 10.1055/s-0043-1762585
8 Li X, Wang V. Genetic evidence for the causal relationship between NAFLD and brain functional connectivity. Proceedings of the 6th International Conference on Biomedical Engineering and Applications. 2022. pp. 77–86. 10.1145/3543081.3543093
9 Gangopadhyay A, Ibrahim R, Theberge K, May M, Houseknecht K. Non-alcoholic fatty liver disease (NAFLD) and mental illness: Mechanisms linking mood, metabolism and medicines. Front Neurosci. 2022;16:1042442. 10.3389/fnins.2022.1042442
10 Zhu C, Huai Q, Zhang X, Dai H, Li X, Wang H. Insights into the roles and pathomechanisms of ceramide and sphigosine-1-phosphate in nonalcoholic fatty liver disease. Int J Biol Sci. 2023;19:311–30. 10.7150/ijbs.78525
11 Jiang L, Wang Q, Jiang Y, Peng D, Zong K, Li S, et al. Identification of diagnostic gene signatures and molecular mechanisms for non-alcoholic fatty liver disease and Alzheimer’s disease through machine learning algorithms. Clin Chim Acta. 2024; 557:117892. 10.1016/j.cca.2024.117892
12 Ye X, Liu M, Wang X, Cheng S, Li C, Bai Y, et al. Exploring the common pathogenesis of Alzheimer’s disease and type 2 diabetes mellitus via microarray data analysis. Front Aging Neurosci. 2023; 15:1071391. 10.3389/fnagi.2023.1071391
13 Jadhav PA, Thomas AB, Chopada VM, Bokaria PV, Deokate SB, Chougule PS, et al. Correlation of non-alcoholic fatty liver disease and neurodegenerative disorders. Egyptian Liver J. 2024;14(1):79. 10.1186/s43066-024-00386-9
14 Hadjihambi A. Cerebrovascular alterations in NAFLD: Is it increasing our risk of Alzheimer’s disease? Anal Biochem. 2022; 636:114387. 10.1016/j.ab.2021.114387
15 Rita M, Giuffrè M, Crocè LS, Gazzin S, Tiribelli C. Nonalcoholic fatty liver disease and altered neuropsychological functions in patients with subcortical vascular dementia. J Pers Med. 2022;12(7):1106. 10.3390/jpm12071106
16 Bulgart HR, Neczypor EW, Wold LE, Mackos AR. Microbial involvement in Alzheimer disease development and progression. Mol Neurodegener. 2020;15(1):42. 10.1186/s13024-020-00378-4
17 Zhang JJ, Shen Y, Chen XY, Jiang ML, Yuan FH, Xie SL, et al. Integrative network-based analysis on multiple Gene Expression Omnibus datasets identifies novel immune molecular markers implicated in non-alcoholic steatohepatitis. Front Endocrinol. 2023; 14:1115890. 10.3389/fendo.2023.1115890.
18 Wolski WE, Nanni P, Grossmann J, d’Errico M, Schlapbach R, Panse C. prolfqua: A comprehensive R-package for proteomics differential expression analysis. J Proteome Res. 2023;22(4):1092–104. 10.1021/acs.jproteome.2c00441
19 Zhao K, Rhee SY. Interpreting omics data with pathway enrichment analysis. Trends Genet. 2023;39(4):308–19. 10.1016/j.tig.2023.01.003
20 Zhang X, Wang Z, Hu L, Shen X, Liu C. Identification of potential genetic biomarkers and target genes of peri-implantitis using bioinformatics tools. BioMed Res Int. 2021; 2021:1759214. 10.1155/2021/1759214
21 Xiang J, Huang W, He Y, Li Y, Wang Y, Chen R. Construction of artificial neural network diagnostic model and analysis of immune infiltration for periodontitis. Front Genet. 2022; 13:1041524. 10.3389/fgene.2022.1041524
22 Xu G, Qi F, Li H, Yang Q, Wang H, Wang X, et al. The differential immune responses to COVID-19 in peripheral and lung revealed by single-cell RNA sequencing. Cell Discov. 2020; 6:73. 10.1038/s41421-020-00225-2
23 Tang K, Li X, Mo J, Chen Y, Huang C, Li T, et al. CD69 serves as a potential diagnostic and prognostic biomarker for hepatocellular carcinoma. Sci Rep. 2023;13(1):7452. 10.1038/s41598-023-34261-1
24 Jiang H, Hu Y, Zhang Z, Chen X, Gao J. Identification of metabolic biomarkers associated with nonalcoholic fatty liver disease. Lipids Health Dis. 2023;22(1):150. 10.1186/s12944-023-01911-2
25 Dan C, Jialiang L Taokan H Juan K Changhai J Jun L. Hepatic antioxidant and gut ecological modulation properties of long-term intake of tea (Camellia sinensis L.) flower extract in vivo. Quality Assurance and Safety of Crops & Foods, 2023; 15(3): 11–21. 10.15586/qas.v15i3.1209
26 Contreras D, González-Rocha A, Clark P, Barquera S, Denova-Gutiérrez E. Diagnostic accuracy of blood biomarkers and non-invasive scores for the diagnosis of NAFLD and NASH: Systematic review and meta-analysis. Ann Hepatol. 2023;28(1):100873. 10.1016/j.aohep.2022.100873
27 Yokoyama JS, Wang Y, Schork AJ, Thompson WK, Karch CM, Cruchaga C, et al. Alzheimer’s Disease Neuroimaging Initiative. Association between genetic traits for immune-mediated diseases and Alzheimer disease. JAMA Neurol. 2016;73(6):691–7. 10.1001/jamaneurol.2016.0150
28 Newcombe EA, Camats-Perna J, Silva ML, Valmas N, Huat TJ, Medeiros R. Inflammation: The link between comorbidities, genetics, and Alzheimer’s disease. J Neuroinflammation. 2018;15(1):276. 10.1186/s12974-018-1313-3
29 Karbalaei R, Allahyari M, Rezaei-Tavirani M, Asadzadeh-Aghdaei H, Zali MR. Protein-protein interaction analysis of Alzheimer’s disease and NAFLD based on systems biology methods unhide common ancestor pathways. Gastroenterol Hepatol Bed Bench. 2018;11(1):27–33.
30 Herman FJ, Simkovic S, Pasinetti GM. Neuroimmune nexus of depression and dementia: Shared mechanisms and therapeutic targets. Br J Pharmacol. 2019;176(18):3558–84. 10.1111/bph.14569
31 Terracciani F, Falcomatà A, Gallo P, Picardi A, Vespasiani-Gentilucci U. Prognostication in NAFLD: Physiological bases, clinical indicators, and newer biomarkers. J Physiol Biochem. 2023;79(4):851–68. 10.1007/s13105-022-00934-0
32 Nassir F. NAFLD: Mechanisms, treatments, and biomarkers. Biomolecules. 2022;12(6):824. 10.3390/biom12060824
33 Jie ZB, Ye NG; Xiao PT, Ma ZF, Jie ZW. Combining network pharmacology and bioinformatics to identify bioactive compounds and potential mechanisms of action of Sedum aizoon L in the treatment of atherosclerosis. Quality Assurance and Safety of Crops & Foods, 2023; 15(3): 104–116. 10.15586/qas.v15i3.1333
34 Wang H, Han X, Gao S. Identification of potential biomarkers for pathogenesis of Alzheimer’s disease. Hereditas. 2021;158(1):23. 10.1186/s41065-021-00187-9
35 Tomkins JE, Manzoni C. Advances in protein-protein interaction network analysis for Parkinson’s disease. Neurobiol Dis. 2021; 155:105395. 10.1016/j.nbd.2021.105395
36 Naveed M, Ali U, Aziz T, Jabeen K, Arif MH, Alharbi M, et al. Development and immunological evaluation of an mRNA-based vaccine targeting Naegleria fowleri for the treatment of primary amoebic meningoencephalitis. Sci Rep. 2024;14(1):767. 10.1038/s41598-023-51127-8
37 Naveed M, Jabeen K, Aziz T, Mughual MS, Ul-Hassan J, Sheraz M, et al. Whole proteome analysis of MDR Klebsiella pneumoniae to identify mRNA and multiple epitope based vaccine targets against emerging nosocomial and lungs associated infections. J Biomol Struct Dyn. 2025;43(4):1915–28. 10.1080/07391102.2023.2293266
38 Lv H, Liu X, Zeng X, Liu Y, Zhang C, Zhang Q, et al. Comprehensive analysis of cuproptosis-related genes in immune infiltration and prognosis in melanoma. Front Pharmacol. 2022; 13:930041. 10.3389/fphar.2022.930041
39 Naveed M, Mughal MS, Jabeen K, Aziz T, Naz S, Nazir N, et al. Evaluation of the whole proteome to design a novel mRNA-based vaccine against multidrug-resistant Serratia marcescens. Frontiers in microbiology. 2022;13, 960285. 10.3389/fmicb.2022.960285
40 Zhao J, Yang Z, Tu M, Meng W, Gao H, Li MD, et al. Correlation between prognostic biomarker SLC1A5 and immune infiltrates in various types of cancers including hepatocellular carcinoma. Front Oncol. 2021; 11:608641. 10.3389/fonc.2021.608641
41 Naveed M, Jabeen K, Naz R, Mughal MS, Rabaan AA, Bakhrebah MA, et al. Regulation of host immune response against Enterobacter cloacae proteins via computational mRNA vaccine design through transcriptional modification. Microorganisms. 2022;10(8):1621. 10.3390/microorganisms10081621
42 Guo C, Tang Y, Zhang Y, Li G. Mining TCGA data for key biomarkers related to immune microenvironment in endometrial cancer by immune score and weighted correlation network analysis. Front Mol Biosci. 2021; 8:645388. 10.3389/fmolb.2021.645388
43 Ye X, Liu M, Wang X, Cheng S, Li C, Bai Y, et al. Exploring the common pathogenesis of Alzheimer’s disease and type 2 diabetes mellitus via microarray data analysis. Front Aging Neurosci. 2023; 15:1071391. 10.3389/fnagi.2023.1071391